Menu
×
   ❮     
HTML CSS JAVASCRIPT SQL PYTHON JAVA PHP HOW TO W3.CSS C C++ C# BOOTSTRAP REACT MYSQL JQUERY EXCEL XML DJANGO NUMPY PANDAS NODEJS DSA TYPESCRIPT ANGULAR ANGULARJS GIT POSTGRESQL MONGODB ASP AI R GO KOTLIN SWIFT SASS VUE GEN AI SCIPY AWS CYBERSECURITY DATA SCIENCE INTRO TO PROGRAMMING INTRO TO HTML & CSS BASH RUST TOOLS

Data Science - Statistics Correlation vs. Causality


Correlation Does Not Imply Causality

Correlation measures the numerical relationship between two variables.

A high correlation coefficient (close to 1), does not mean that we can for sure conclude an actual relationship between two variables.

A classic example:

  • During the summer, the sale of ice cream at a beach increases
  • Simultaneously, drowning accidents also increase as well

Does this mean that increase of ice cream sale is a direct cause of increased drowning accidents?


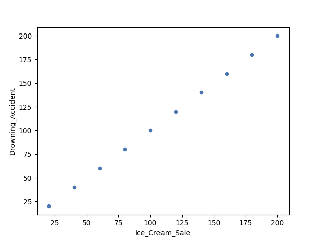
The Beach Example in Python

Here, we constructed a fictional data set for you to try:

Example

import pandas as pd
import matplotlib.pyplot as plt

Drowning_Accident = [20,40,60,80,100,120,140,160,180,200]
Ice_Cream_Sale = [20,40,60,80,100,120,140,160,180,200]
Drowning = {"Drowning_Accident": [20,40,60,80,100,120,140,160,180,200],
"Ice_Cream_Sale": [20,40,60,80,100,120,140,160,180,200]}
Drowning = pd.DataFrame(data=Drowning)

Drowning.plot(x="Ice_Cream_Sale", y="Drowning_Accident", kind="scatter")
plt.show()

correlation_beach = Drowning.corr()
print(correlation_beach)
Try it Yourself »

Output:

Correlation vs. Causality

Correlation vs Causality - The Beach Example

In other words: can we use ice cream sale to predict drowning accidents?

The answer is - Probably not.

It is likely that these two variables are accidentally correlating with each other.

What causes drowning then?

  • Unskilled swimmers
  • Waves
  • Cramp
  • Seizure disorders
  • Lack of supervision
  • Alcohol (mis)use
  • etc.

Let us reverse the argument:

Does a low correlation coefficient (close to zero) mean that change in x does not affect y?

Back to the question:

  • Can we conclude that Average_Pulse does not affect Calorie_Burnage because of a low correlation coefficient?

The answer is no.

There is an important difference between correlation and causality:

  • Correlation is a number that measures how closely the data are related
  • Causality is the conclusion that x causes y.

Tip: Always critically reflect over the concept of causality when doing predictions!



×

Contact Sales

If you want to use W3Schools services as an educational institution, team or enterprise, send us an e-mail:
sales@w3schools.com

Report Error

If you want to report an error, or if you want to make a suggestion, send us an e-mail:
help@w3schools.com

W3Schools is optimized for learning and training. Examples might be simplified to improve reading and learning. Tutorials, references, and examples are constantly reviewed to avoid errors, but we cannot warrant full correctness of all content. While using W3Schools, you agree to have read and accepted our terms of use, cookies and privacy policy.

Copyright 1999-2026 by Refsnes Data. All Rights Reserved. W3Schools is Powered by W3.CSS.

-->